Current and pledged adaptation finance scrapes the bottom of the barrel
Authors
Tabea Lissner, Adelle Thomas, Emily Theokritoff
Share

In a recent statement, G7 foreign ministers acknowledged the urgent need to “scale up climate finance for adaptation in line with the Glasgow call to at least double the collective provision of adaptation finance from 2019 levels by 2025, in the context of achieving a balance between mitigation and adaptation in the provision of scaled-up financial resources, recalling Article 9, paragraph 4, of the Paris Agreement“.
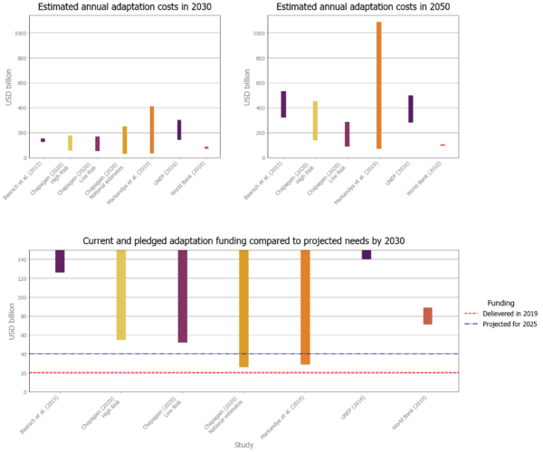
It has been estimated that adaptation finance was roughly USD 20 billion per year in 2019. A doubling of efforts, as agreed in the Glasgow Climate Pact and reiterated by the G7 ministers, would bring adaptation finance into the vicinity of $40 billion.
At this rate we would fall woefully short of what the latest science from the IPCC and the 2021 Adaptation Gap Report tell us will be needed (Figure 1). Median values for cost estimates stand at USD 127 billion in 2030 and USD 295 billion in 2050. This may sound prohibitively large, but in comparison fossil fuel subsidies stood at USD 440 billion in 2021.












